Thursday, January 12, 2017

LAPORAN PRAKTIKUM FISIKA KISI DIFRAKSI


LAPORAN PRAKTIKUM FISIKA
KISI DIFRAKSI

Kelompok 2 :
1. Amar Azzamul Faruq (4)
2. Deny Juliati (13)
3. Desian Riat Putri (14)
4. Eli Ermawati (18)

XII IPA 2

SMA NEGERI 1 JAKENAN
TAHUN PELAJARAN

2016/2017

A.    Tujuan
Menentukan panjang gelombang suatu sumber cahaya pada kisi difraksi
B.     Alat dan Bahan
NO
Alat dan Bahan
Jumlah
1
Kisi difraksi
1 buah
2
Laser
1 buah
3
Mistar (1m)
1 buah
4
Kertas
3 buah
5
Pensil
1 buah
6
Isolatip
1 buah

C.     Dasar Teori
Gelombang memiliki beberapa sifat, salah satunya adalah difraksi. Difraksi adalah peristiwa pembelokan atau pelenturan arah gelombang ketika melewati penghalang berupa celah. Jika gelombang melewati celah yang ukurannya sempit, maka difraksi menyebabkan celah tersebut seolah-olah merupakan sumber gelombang melingkar. yang disebabkan oleh adanya penghalang berupa celah. Semakin kecil halangan, penyebaran gelombang semakin besar.Sama halnya dengan gelombang, cahaya yang dilewatkan pada sebuah celah sempit juga akan mengalami difraksi. Difraksi cahaya terjadi juga pada celah sempit yang terpisah sejajar satu sama lain pada jarak yang sama.
Bila cahaya monokromatik (satu warna) dijatuhkan pada celah sempit, maka cahaya akan dibelokkan atau dilenturkan. Sedangkan bila cahaya dijatuhkan polikromatik (cahaya putih atau banyak warna), selain akan mengalami peristiwa difraksi, juga akan terjadi peristiwa interferensi. Hasil interferensi menghasilkan pola warna pelangi.
Berkas cahaya jatuh pada celah tunggal, akan dibelokkan dengan sudut belok θ. Pada layar akan terlihat pola gelap dan terang. Pola gelap dan terang akan terjadi bila mengalami peristiwa interferensi.
Cahaya yang dilewatkan pada kisi difraksi akan membentuk garis gelap dan terang dengan rumus sebagai berikut :
Interferensi maximum  


Interferensi minimum  
Kisi difraksi merupakan suatu piranti atau alat untuk menganalisis sumber cahaya. Kisi adalah celah sempit yang dibuat dengan menggores sebuah lempengan kaca dengan intan. Sebuah kisi dapat dibuat 300 sampai 600 celah setiap 1 mm. pada kisi, setiap goresan merupakan celah. Celah diantara goresan-goresan adalah transparan terhadap cahaya dan arena itu bertindak sebagai celah-celah yang terpisah.
Sebuah kisi memiliki konstanta atau tetapan kisi yang menyatakan banyaknya goresan tiap satu satuan panjang, yang dilambangkan dengan d, yang juga sering dikatakan menjadi lebar celah atau jarak antar celah. Sebuah kisi dapat mempunyai ribuan garis per sentimeter. Banyaknya goresan tiap satuan panjang dinyatakan dengan N. Jika terdapat N garis per satuan panjang, maka tetapan kisi d adalah kebalikan dari N, yaitu:
Jika berkas cahaya monokhromatis dijatuhkan pada sebuah kisi, sebagian akan diteruskan sedangkan sebagian lagi akan dibelokkan. Akibat pelenturan tersebut, apabila kita melihat suatu sumber cahaya monokhromatis dengan perantaraan sebuah kisi, akan tampak suatu pola difraksi berupa pita-pita (garis) terang pada layar. Intensitas pita-pita terang mencapai maksimun pada pita pusat dan pita-pita lainnya yang terletak dikiri dan kanan pita pusat. Intensitas pita berkurang untuk warna yang sama bila pitanya jauh dari pita pusat. Pita-pita terang terjadi bila selisih lintasan dari cahaya yang keluar dari dua celah kisi yang berurutan memenuhi persamaan :
atau 
Sedangkan pita gelap akan terjadi bila memenuhi persamaan :
dimana :
n                = orde pola difraksi (0,1,2,………)
d                = jarak antara dua garis kisi ( konstanta kisi)
λ                = panjang gelombang cahaya yang digunakan
θ                = sudut lenturan (difraksi)
∆Y (P)      = jarak terang pusat dengan orde ke-n
L                = jarak layar ke kisi difraksi
Jika cahaya yang digunakan berupa cahaya polikhromatis, kita akan melihat suatu spectrum warna. Spektrum yan paling jelas terlihat adalah spektrum dari orde pertama (N=1). Garis gelap dan terang atau pembentukan spektrum akan lebih jelas dan tajam jika lebar celahnya semakin sempit atau konstanta kisinya semakin banyak atau besar. Garis gelap dan terang dan spektrum tersebut merupakan hasil interferensi dari cahaya yang berasal dari kisi tersebut yang jatuh pada layar titik atau tempat tertentu.
D.    Prosedur Percobaan
         I.            Kisi 100 garis/mm
1.      Menyiapkan 4 lembar kertas, lalu menyambung kertas satu dengan lainnya memakai isolatip.
2.      Menempelkan kertas tersebut pada dinding sebagai layarnya.
3.      Mengukur jarak kisi dengan layar sepanjang 1m memakai mistar.
4.      Menghidupkan laser dan mengarahkan pada kisi sebesar 100 garis/mm.
5.      Mengamati  garis terang dan gelap pada layar.
6.      Memberi tanda garis terang pada layar memakai pensil.
7.      Menghitung lebar celah (d) pada kisi 100 garis/mm.
8.      Menghitung jarak antara dua garis terang berurutan (P) pada layar.
9.      Mencari panjang gelombang (λ) yang digunakan antara dua garis terang yang berdekatan untuk n = 1, n = 2, dan n = 3.
10.  Mencatat hasi praktikum pada tabel pengamatan.

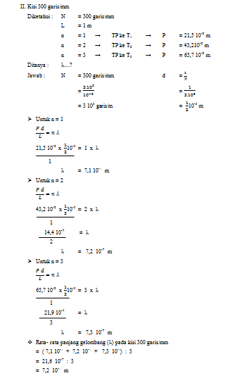
      II.            Kisi 300 garis/mm
1.      Menyiapkan 4 lembar kertas, lalu menyambung kertas satu dengan lainnya memakai isolatip.
2.      Menempelkan kertas tersebut pada dinding sebagai layarnya.
3.      Mengukur jarak kisi dengan layar sepanjang 1m memakai mistar.
4.      Menghidupkan laser dan mengarahkan pada kisi sebesar 300 garis/mm.
5.      Mengamati  garis terang dan gelap pada layar.
6.      Memberi tanda garis terang pada layar memakai pensil.
7.      Menghitung lebar celah (d) pada kisi 300 garis/mm.
8.      Menghitung jarak antara dua garis terang berurutan (P) pada layar.
9.      Mencari panjang gelombang (λ) yang digunakan antara dua garis terang yang berdekatan untuk n = 1, n = 2, dan n = 3.
10.  Mencatat hasi praktikum pada tabel pengamatan.

   III.            Kisi 600 garis/mm
1.      Menyiapkan 4 lembar kertas, lalu menyambung kertas satu dengan lainnya memakai isolatip.
2.      Menempelkan kertas tersebut pada dinding sebagai layarnya.
3.      Mengukur jarak kisi dengan layar sepanjang 1m memakai mistar.
4.      Menghidupkan laser dan mengarahkan pada kisi sebesar 600 garis/mm.
5.      Mengamati  garis terang dan gelap pada layar.
6.      Memberi tanda garis terang pada layar memakai pensil.
7.      Menghitung lebar celah (d) pada kisi 600 garis/mm.
8.      Menghitung jarak antara dua garis terang berurutan (P) pada layar.
9.      Mencari panjang gelombang (λ) yang digunakan antara dua garis terang yang berdekatan untuk n = 1, n = 2, dan n = 3.
10.  Mencatat hasil praktikum pada tabel pengamatan.




G.    Kesimpulan
Dari praktikum yang kami lakukan dapat disimpulkan bahwa semakin besar nilai N (konstanta kisi) maka jarak antara dua garis terang yang berdekatan (P) semakin besar. Panjang gelombang (λ) dipengaruhi oleh jarak garis terang ke layar, bilangan orde, jarak garis terang pusat dengan garis terang n dan juda konstanta kisi.
H.    Saran
Dalam melakukan praktikum sebaiknya alat yang digunakan dapat berfungsi dengan baik, terutama lasernya seharusnya menggunakan laser yang dapat berfungsi dengan baik, agar cahaya yang tampak pada layar terlihat dengan jelas. Seharusnya siswa dapat memahami materi kisi difraksi ini dengan lebih mendalam agar dapat menjawab berbagai soal mengenai kisi difraksi dengan benar.


MAKALAH ‘’BUDAYA POLITIK’’

MAKALAH
BUDAYA POLITIK
PKN 


Disusun oleh :
1.     Alfian                     (4)
2.     Desian Riat Putri  (15)
3.     Eli Ermawati         (19)
4.     Kusnul Khotimah  (26)
5.     Wahyu Mukti Aji  (40)
SMA N 1 JAKENAN

Tahun Ajaran 2015/2015

PENDAHULUAN
LATAR BELAKANG
Budaya politik merupakan sistem nilai dan keyakinan yang dimiliki bersama oleh masyarakat.Namun, setiap unsur masyarakat berbeda pula budaya politiknya, seperti antara masyarakat umum dengan para elitenya. Seperti juga di Indonesia, menurut Benedict R. OG Anderson, kebudayaan Indonesia cenderung membagi secara tajam antara kelompok elite dengan kelompok massa.Negara Indonesia sebagai negara demokratis membutuhkan warga negara yang berbudaya politik partisipan dan berorientasi setia atau mendukung sistem politik nasional. Warga negara yang berciri demikian inilah yang memang didutuhkan bagi sistem politik demokrasi di Indonesia. 
Kehidupan manusia di dalam masyarakat, memiliki peranan penting dalam sistem politik suatu negara. Manusia dalam kedudukannya sebagai makhluk sosial, senantiasa akan berinteraksi dengan manusia lain dalam upaya mewujudkan kebutuhan hidupnya. Kebutuhan hidup manusia tidak cukup yang bersifat dasar, seperti makan, minum, biologis, pakaian dan papan (rumah). Lebih dari itu, juga mencakup kebutuhan akan pengakuan eksistensi diri dan penghargaan dari orang lain dalam bentuk pujian, pemberian upah kerja, status sebagai anggota masyarakat, anggota suatu partai politik tertentu dan sebagainya.Setiap warga negara, dalam kesehariannya hampir selalu bersentuhan dengan aspek-aspek politik praktis baik yang bersimbol maupun tidak. Dalam proses pelaksanaannya dapat terjadi secara langsung atau tidak langsung dengan praktik-praktik politik.

RUMUSAN MASALAH
1.     Apa yang dimaksud dengan budaya politik?
2.     Apa saja tipe-tipe budaya politik?
3.     Apa yang dimaksud sosialisasi budaya politik?
4.     Apa yang dimaksud peran serta budaya politik partisipan?

POKOK-POKOK YANG AKAN DI BAHAS
I.       Pengertian Budaya Politik
II.    Tipe-Tipe Budaya Politik
III. Sosialisasi Budaya Politik
IV.  Peran Sera Budaya Politik Partisipan




PEMBAHASAN
I. PENGERTIAN BUDAYA POLITIK
A. Pengertian Budaya Politik
Merupakan pola perilaku suatu masyarakat dalam kehidupan benegara, penyelenggaraan administrasi negara, politik pemerintahan, hukum, adat istiadat, dan norma kebiasaan yang dihayati oleh seluruh anggota masyarakat setiap harinya . Budaya politik juga dapat di artikan sebagai suatu sistem nilai bersama suatu masyarakat yang memiliki kesadaran untuk berpartisipasi dalam pengambilan keputusan kolektif dan penentuan kebijakan publik untuk masyarakat seluruhnya. Budaya politik merupakan pola perilaku suatu masyarakat dalam kehidupan benegara, penyelenggaraan administrasi negara, politik pemerintahan, hukum, adat istiadat, dan norma kebiasaan yang dihayati oleh seluruh anggota masyarakat setiap harinya .
Budaya politik juga dapat di artikan sebagai suatu sistem nilai bersama suatu masyarakat yang memiliki kesadaran untuk berpartisipasi dalam pengambilan keputusan kolektif dan penentuan kebijakan publik untuk masyarakat seluruhnya. Budaya politik merupakan sistem nilai dan keyakinan yang dimiliki bersama oleh masyarakat. Namun, setiap unsur masyarakat berbeda pula budaya politiknya, seperti antara masyarakat umum dengan para elitenya. Seperti juga di Indonesia, menurut Benedict R. O’G Anderson, kebudayaan Indonesia cenderung membagi secara tajam antara kelompok elite dengan kelompok massa.
Almond dan Verba mendefinisikan budaya politik sebagai suatu sikap orientasi yang khas warga negara terhadap sistem politik dan aneka ragam bagiannya, dan sikap terhadap peranan warga negara yang ada di dalam sistem itu. Dengan kata lain, bagaimana distribusi pola-pola orientasi khusus menuju tujuan politik diantara masyarakat bangsa itu. Lebih jauh mereka menyatakan, bahwa warga negara senantiasa mengidentifikasikan diri mereka dengan simbol-simbol dan lembaga kenegaraan berdasarkan orientasi yang mereka miliki. Dengan orientasi itu pula mereka menilai serta mempertanyakan tempat dan peranan mereka di dalam sistem politik.
Berikut ini adalah beberapa pengertian budaya politik yang dapat dijadikan sebagai pedoman untuk lebih memahami secara teoritis sebagai berikut :
a.       Budaya politik adalah aspek politik dari nilai-nilai yang terdiri atas pengetahuan, adat istiadat, tahayul, dan mitos. Kesemuanya dikenal dan diakui oleh sebagian besar masyarakat. Budaya politik tersebut memberikan rasional untuk menolak atau menerima nilai-nilai dan norma lain.
b.      Budaya politik dapat dilihat dari aspek doktrin dan aspek generiknya. Yang pertama menekankan pada isi atau materi, seperti sosialisme, demokrasi, atau nasionalisme. Yang kedua (aspek generik) menganalisis bentuk, peranan, dan ciri-ciri budaya politik, seperti militan, utopis, terbuka, atau tertutup.
c.       Hakikat dan ciri budaya politik yang menyangkut masalah nilai-nilai adalah prinsip dasar yang melandasi suatu pandangan hidup yang berhubungan dengan masalah tujuan.
d.      Bentuk budaya politik menyangkut sikap dan norma, yaitu sikap terbuka dan tertutup, tingkat militansi seseorang terhadap orang lain dalam pergaulan masyarakat. Pola kepemimpinan (konformitas atau mendorong inisiatif kebebasan), sikap terhadap mobilitas (mempertahankan status quo atau mendorong mobilitas), prioritas kebijakan (menekankan ekonomi atau politik).
Dengan pengertian budaya politik di atas, nampaknya membawa kita pada suatu pemahaman konsep yang memadukan dua tingkat orientasi politik, yaitu sistem dan individu. Dengan orientasi yang bersifat individual ini, tidaklah berarti bahwa dalam memandang sistem politiknya kita menganggap masyarakat akan cenderung bergerak ke arah individualisme.
 Jauh dari anggapan yang demikian, pandangan ini melihat aspek individu dalam orientasi politik hanya sebagai pengakuan akan adanya fenomena dalam masyarakat secara keseluruhan tidak dapat melepaskan diri dari orientasi individual.
B. Pengertian Budaya Politik Menurut Para Ahli
Terdapat banyak sarjana ilmu politik yang telah mengkaji tema budaya politik, sehingga terdapat variasi konsep tentang budaya politik yang kita ketahui. Namun bila diamati dan dikaji lebih jauh, tentang derajat perbedaan konsep tersebut tidaklah begitu besar, sehingga tetap dalam satu pemahaman dan rambu-rambu yang sama. Berikut ini merupakan pengertian dari beberapa ahli ilmu politik tentang budaya politik.
1.      Rusadi Sumintapura
Budaya politik tidak lain adalah pola tingkah laku individu dan orientasinya terhadap kehidupan politik yang dihayati oleh para anggota suatu sistem politik.
2.      Sidney Verba
Budaya politik adalah suatu sistem kepercayaan empirik, simbol-simbol ekspresif dan nilai-nilai yang menegaskan suatu situasi dimana tindakan politik dilakukan.
3.      Alan R. Ball
Budaya politik adalah suatu susunan yang terdiri dari sikap, kepercayaan, emosi dan nilai-nilai masyarakat yang berhubungan dengan sistem politik dan isu-isu politik.
4.      Austin Ranney
Budaya politik adalah seperangkat pandangan-pandangan tentang politik dan pemerintahan yang dipegang secara bersama-sama; sebuah pola orientasi-orientasi terhadap objek-objek politik.
5.      Gabriel A. Almond dan G. Bingham Powell, Jr.
Budaya politik berisikan sikap, keyakinan, nilai dan keterampilan yang berlaku bagi seluruh populasi, juga kecenderungan dan pola-pola khusus yang terdapat pada bagian-bagian tertentu dari populasi.
Berdasarkan beberapa pengertian tersebut diatas (dalam arti umum atau menurut para ahli), maka dapat ditarik beberapa batasan konseptual tentang budaya politik sebagai berikut :
Pertama : bahwa konsep budaya politik lebih mengedepankan aspek-aspek non-perilaku aktual berupa tindakan, tetapi lebih menekankan pada berbagai perilaku non-aktual seperti orientasi, sikap, nilai-nilai dan kepercayaan-kepercayaan. Hal inilah yang menyebabkan Gabriel A. Almond memandang bahwa budaya politik adalah dimensi psikologis dari sebuah sistem politik yang juga memiliki peranan penting berjalannya sebuah sistem politik.
Kedua : hal-hal yang diorientasikan dalam budaya politik adalah sistem politik, artinya setiap berbicara budaya politik maka tidak akan lepas dari pembicaraan sistem politik. Hal-hal yang diorientasikan dalam sistem politik, yaitu setiap komponen-komponen yang terdiri dari komponen-komponen struktur dan fungsi dalam sistem politik. Seseorang akan memiliki orientasi yang berbeda terhadap sistem politik, dengan melihat fokus yang diorientasikan, apakah dalam tataran struktur politik, fungsi-fungsi dari struktur politik, dan gabungan dari keduanya. Misal orientasi politik terhadap lembaga politik terhadap lembaga legislatif, eksekutif dan sebagainya.
Ketiga : budaya politik merupakan deskripsi konseptual yang menggambarkan komponen-komponen budaya politik dalam tataran masif (dalam jumlah besar), atau mendeskripsikan masyarakat di suatu negara atau wilayah, bukan per-individu. Hal ini berkaitan dengan pemahaman, bahwa budaya politik merupakan refleksi perilaku warga negara secara massal yang memiliki peran besar bagi terciptanya sistem politik yang ideal.

C. Komponen-Komponen Budaya Politik
Seperti dikatakan oleh Gabriel A. Almond dan G. Bingham Powell, Jr.,bahwa budaya politik merupakan dimensi psikologis dalam suatu sistem politik. Maksud dari pernyataan ini menurut Ranney , adalah karena budaya politik menjadi satu lingkungan psikologis, bagi terselenggaranya konflik-konflik politik (dinamika politik) dan terjadinya proses pembuatan kebijakan politik. Sebagai suatu lingkungan psikologis, maka komponen-komponen berisikan unsur-unsur psikis dalam diri masyarakat yang terkategori menjadi beberapa unsur.
Menurut Ranney, terdapat dua komponen utama dari budaya politik, yaitu orientasi kognitif (cognitive orientations) dan orientasi afektif (affective oreintatations ). Sementara itu, Almond dan Verba dengan lebih komprehensif mengacu pada apa yang dirumuskan Parsons dan Shils tentang klasifikasi tipe-tipe orientasi, bahwa budaya politik mengandung tiga komponen obyek politik sebagai berikut.
-          Orientasi kognitif : yaitu berupa pengetahuan tentang dan kepercayaan pada politik, peranan dan segala kewajibannya serta input dan outputnya.
-          Orientasi afektif : yaitu perasaan terhadap sistem politik, peranannya, para aktor dan pe-nampilannya.
-          Orientasi evaluatif : yaitu keputusan dan pendapat tentang obyek-obyek politik yang secara tipikal melibatkan standar nilai dan kriteria dengan informasi dan perasaan.
Budaya politik merupakan bagian dari kebudayaan masyarakat dengan ciri-ciri yang lebih khas yaitu ssebagai berikut :
-          Budaya politik menyangkut masalah legitimasi.
-          Pengaturan kekuasaan.
-          Proses pembuatan kebijakan pemerintah.
-          Kegiatan partai-partai politik.Perilaku aparat negara.
-          Gejolak masyarakat terhadap kekuasaan yang memerintah.
-          Kegiatan politik juga memasuki dunia keagamaan, kegiatan ekonomidan sosial, kehidupan pribadi dan sosial secara luar.
-          Budaya politik menyangkut pola pengalokasian sumber-sumber masyarakat.

II. TIPE-TIPE BUDAYA POLITIK
Menurut pendapat “Gabriel Abraham Almond & Sidney Verba”
1. Budaya Politik Parokial
Budaya politik parokial biasanya terdapat pada sistem politik tradisional dan sederhana dengan ciri khas spesialisasi masih sangat kecil. Dengan demikian, pelaku-pelaku politik belum memiliki pengkhususan tugas. Masyarakat dengan budaya parokial tidak mengharapkan apa pun dari sistem politik termasuk melakukan perubahan-perubahan. Budaya politik parokial yaitu budaya politik yang tingkat partisipasi politiknya sangat rendah . Budaya politik suatu masyarakat dapat di katakan Parokial apabila frekuensi orientasi mereka terhadap empat dimensi penentu budaya politik mendekati nol atau tidak memiliki perhatian sama sekali terhadap keempat dimensi tersebut.
Selain itu, di Indonesia, unsur-unsur budaya lokal masih sangat melekat pada masyarakat tradisional atau masyarakat pedalaman. Pranata, tata nilai, dan unsur-unsur adat lebih banyak dipegang teguh daripada persoalan pembagian peran politik. Pemimpin adat atau kepala suku yang nota bene adalah pemimpin politik, dapat berfungsi pula sebagai pemimpin agama atau pemimpin sosial masyarakat bagi kepentingankepentingan ekonomi.
Ciri-ciri budaya politik parokial adalah sebagai berikut.
-          Budaya politik ini berlangsung dalam masyarakat yang masih tradisional dan sederhana.
-          Belum terlihat peran-peran politik yang khusus; peran politik dilakukan serempak bersamaan dengan peran ekonomi, keagamaan, dan lain-lain.
-          Kesadaran anggota masyarakat akan adanya pusat kewenangan atau kekuasaan dalam masyarakatnya cenderung rendah.
-          Warga cenderung tidak menaruh minat terhadap objek-objek politik yang luas, kecuali yang ada di sekitarnya.
-          Warga tidak banyak berharap atau tidak memiliki harapan-harapan tertentu dari sistem politik tempat ia berada.
-          Apatis
-          Pengetahuan politik rendah
-          Tidak tahu terhadap kehidupan politik
-          Anggota masyarakat cenderung tidak menaruh minat terhadap objek politik yang luas
-          Kesadaran anggota masyarak adanya pusat kewenangan dan kekuasaan dalam masyarakatnya rendah
-          Warga negara tidak terlalu be dalam sistem politik
-          Tidak bersifat khusus
-          Lingkupnya sempit dan kecil tradisional
Contoh budaya politik parokial yakni masyarakat pada suku-suku pedalaman yang mana mereka belum mengenal betul siapa pemimpin negara mereka dan tidak ikut serta sama sekali dalam pemilu
2. Budaya Politik Kaula / Subjek
Menurut Mochtar Masoed dan Colin Mac Andrews (2000), budaya politik kaula/subjek menunjuk pada orang-orang yang secara pasif patuh pada pejabat-pejabat pemerintahan dan undang-undang, tetapi tidak melibatkan diri dalam politik ataupun memberikan suara dalam pemilihan.
Budaya politik kaula/subjek memiliki frekuensi yang tinggi terhadap sistem politiknya. Namun, perhatian dan intensitas orientasi mereka terhadap aspek masukan dan partisipasinya dalam aspek keluaran sangat rendah. Hal ini menunjukkan bahwa telah adanya otoritas dari pemerintah. Posisi kaula/subjek tidak ikut menentukan apa-apa terhadap perubahan politik.
Masyarakat beranggapan bahwa dirinya adalah subjek yang tidak berdaya untuk memengaruhi atau mengubah sistem. Budaya politik kaula (subjek),yaitubudaya politik yang masyarakat yang bersangkutan sudah relatif maju baik sosial maupun ekonominya tetapi masih bersifat pasif . Budaya politik suatu masyarakat dapat dikatakan subyek jika terdapat frekuensi orientasi yang tinggi terhadap pengetahuan sistem politik secara umum dan objek output atau terdapat pemahaman mengenai penguatan kebijakan yang di buat oleh pemerintah. Namun frekuensi orientasi mengenai struktur dan peranan dalam pembuatan kebijakan yang dilakukan pemerintah tidak terlalu diperhatikan.
Dengan demikian, secara umum mereka menerima segala keputusan dan kebijaksanaan yang diambil oleh pejabat yang berwenang dalam masyarakat. Bahkan, rakyat memiliki keyakinan bahwa apa pun keputusan/ kebijakan pejabat adalah mutlak, tidak dapat diubah-ubah atau dikoreksi, apalagi ditentang. Prinsip yang dipegang adalah mematuhi perintah, menerima, loyal, dan setia terhadap anjuran, perintah, serta kebijakan penguasa.
Ciri-ciri budaya politik subjek adalah sebagai berikut.
-          Warga menyadari sepenuhnya akan otoritasi pemerintah.
-          Tidak banyak warga yang memberi masukan dan tuntutan kepada pemerintah, tetapi mereka cukup puas untuk menerima apa yang berasal dari pemerintah.
-          Warga bersikap menerima saja putusan yang dianggapnya sebagai sesuatu yang tidak boleh dikoreksi, apalagi ditentang.
-          Sikap warga sebagai aktor politik adalah pasif; artinya warga tidak mampu berbuat banyak untuk berpartisipasi dalam kehidupan politik.
-          Warga menaruh kesadaran, minat, dan perhatian terhadap sistem politik pada umumnya dan terutama terhadap objek politik output, sedangkan kesadarannya terhadap input dan kesadarannya sebagai aktor politik masih rendah.
-          Memiliki pengetahuan politik yang cukup
-          Partisipasi politik minim
-          Kesadaran berpolitik rendah
-          Kehidupan sudah baik
-          Tingkat pendidikan relatif maju pemerintah sepenuhnya
-          Warga neg menerima apa yang berasal dari pemerintah
-          Warga negara m kurang dapat mempengaruhi sistem politik
-          Masyarakat secara pasif patu pejabat, pemerintah, dan undang-undang
Contoh Budaya Politik Subjek/Kaula yakni masyarakat jawa (keraton) di jogja. Dimana rakyat sudah ada pemahaman & kesadaran akan pentingnya berpartisipasi dalam politik, namun mereka tidak berdaya dan tidak kritis (hanya mengikuti perintah, tidak memberikan aspirasi)
3. Budaya Politik Partisipan
Menurut pendapat Almond dan Verba (1966), budaya politik partisipan adalah suatu bentuk budaya yang berprinsip bahwa anggota masyarakat diorientasikan secara eksplisit terhadap sistem sebagai keseluruhan dan terhadap struktur dan proses politik serta administratif. Dalam budaya politik partisipan, orientasi politik warga terhadap keseluruhan objek politik, baik umum, input dan output, maupun pribadinya dapat dikatakan tinggi.
Budaya politik partisipan,yaitu budaya politik yang ditandai dengan kesadaran politik yang sangat tinggi . Masyarakat mampu memberikan opininya dan aktif dalam kegiatan politik. Dan juga merupakan suatu bentuk budaya politik yang anggota masyarakatnya sudah memiliki pemahaman yang baik mengenai empat dimensi penentu budaya politik. Mereka memiliki pengetahuan yang memadai mengenai sistem politik secara umum, tentang peran pemerintah dalam membuat kebijakan beserta penguatan, dan berpartisipasi aktif dalam proses politik yang berlangsung.
Budaya politik yang partisipasif adalah budaya politik yang demokratik, dalam hal ini, akan mendukung terbentuknya sebuah sistem politik yang demokratik dan stabil. Budaya politik yang demokratik ini menyangkut “suatu kumpulan sistem keyakinan, sikap, norma, persepsi, dan sejenisnya, yang menopang terwujudnya partisipasi,” kata Almond dan Verba.Masayarakat dalam budaya politik ini mamahami bahwa mereka berstatus warga negara dan memberikan perhatian terhadap sistem politik. Masyarakat memiliki kebangsaan dan kemaua untuk berperam dalam sistem politik. Selain itu, masyarakat dalam budaya politik imi memiliki keyakinan dapat memengaruhi pengambilan kebijakan publik dan membentuk kelompok untuk melakukan protes jika pelaksamaa pemerintah tidak transparan.
Dalam budaya politik partisipan ini, demokrasi dapat berkembang dengan baik. Hal ini dikarenakan terjadinya hubungan yang harmonis antara warga negara dan pemerintah yang ditunjuk oleh tingkat kompetensi politik (penyelesaian sesuatu secara politik), dan tingkat efficacy (keberdayaan). Dapat dikatakan bahwa tipe budaya ini merupakan kondisi ideal bagi secara politikDalam budaya politik partisipan, orientasi politik warga terhadap kesulurahan objek, baik umum, input, maupun output secara pribadinya mendekati satu atau dapat dikatakan tinggi.


Ciri-ciri dari budaya politik partisipan adalah sebagai berikut.
-          Warga menyadari akan hak dan tanggung jawabnya dan mampu mempergunakan hak itu serta menanggung kewajibannya.
-          Warga tidak menerima begitu saja keadaan, tunduk pada keadaan, berdisiplin tetapi dapat menilai dengan penuh kesadaran semua objek politik, baik keseluruhan, input, output maupun posisi dirinya sendiri.
-          Anggota masyarakat sangat partisipatif terhadap semua objek politik, baik menerima maupun menolak suatu objek politik.
-          Masyarakat menyadari bahwa ia adalah warga negara yang aktif dan berperan sebagai aktivis.
-          Kehidupan politik dianggap sebagai sarana transaksi, seperti halnya penjual dan pembeli. Warga dapat menerima berdasarkan kesadaran, tetapi juga mampu menolak berdasarkan penilaiannya sendiri.
-          Kesadaran berpolitik tinggi
-          Kontrol politik aktif
-          Warga terhadap masalah atau isu-isu mengenai kehidupan politik masalah atau isu politik
-          Warga menyadari adanya kewenan atau kekuasaan pemerintah
-          Warga memiliki kesadaran akan peran, hak, dan kewajiban, dan tanggung jawabnya
-          Warga mampu dan berani memberik masukan, gagasan, tuntutan, kritik terhadap pemerinta
-          Warga memiliki kesadaran untuk pada peraturan dan kebijakan yang dikeluarkan tanpa perasaan tertekan.

Contoh budaya politik parokial yakni keaktifan masyarakat terhadap berbagai hal yang berkaitan dengan politik seperti pemilu, demonstrasi, dan lain-lain

III.SOSIALISASI BUDAYA POLITIK
 A. Pengertian Sosialisasi Politik
Menurut Para Ahli:
1. Almond dan Powell, sosialisasi politik sebagai proses dengan mana sikap-sikap dan nilai-nilai politik ditanamkan kepada anak-anak sampai mereka dewasa dan orang-orang dewasa direkrut ke dalam peranan-peranan tertentu.
2. Easton dan Denuis, sosialisasi politik yaitu suatu proses perkembangan seseorang untuk mendapatkan orientasi-orientasi politik dan pola-pola tingkah lakunya.
3. Denis Kavanagh, sosialisasi politik merupakan suatu proses dimana seseorang mempelajari dan menumbuhkan pandangannya tentang politik.
4. Greenstein "International Encyolopedia of The Social Sciences"
Definisi sosialisasi politik:
a. Definisi sempit, sosialisasi politik adalah penanaman informasi politik yang disengaja.
b. Definisi luas, sosialisasi politik merupakan semua usaha mempelajari politik baik formal maupun informal, disengaja ataupun terencana pada setiap tahap siklus kehidupan.
Sosialisasi politik adalah proses dimana individu-individu dapat memperoleh pengetahuan, nilai-nilai, dan sikap-sikap terhadap sistem politik masyarakatnya.



B. Makna Sosialisasi Kesadaran Politik
Menurut M. Taopan, Kesadaran politik (political awwarnes) merupakan proses batin yang menampakkan keinsyafan dari setiap warga negara akan pentingnya urusan kenegaraan dalam kehidupan bernegara.Masyarakat harus mendukung pemerintah, mengingat kompleks dan beratnya beban yang harus dipikul para penyelenggara negara.Kesadaran politik dapat terwujud salah satunya melalui sosialisasi politik.
C. Tujuan Sosialisasi Budaya Politik
Memberikan pengetahuan dan pembelajaran bagi masyarakat agar mereka paham dan mengetahui secara benar tentang apa yang ada dalam politik sehingga tercipta suatu masyarakat yang anggota anggotanya mempunyai pengetahuan politik yang baik dan diharapkan mereka dapat ikut berperan aktif dalam kegiatan-kegiatan politik sehingga mereka tidak pasif terhadap kondisi politik negaranya.Dapat mentransmisikn kebudayaan politik suatu bangsa dari generasi tua kepada generasi muda dan juga sebagai sarana memelihara budaya politik dari bangsa itu sendiri
D. Metode Sosialisasi Budaya Politik
a.       Pendidikan politik dilakukan melalui suatu proses dialog sehingga masyarakat memperoleh nilai, norma dan simbol politik. Biasanya digunakan oleh negara demokrasi.
2. Proses indoktrinasi politik ialah proses sepihak ketika penguasa memobilisasi dan memanipulasi warga masyarakat untuk menerima nilai-nilai, norma dan simbol yang dianggap oleh pihak yang berkuasa ideal dan baik. Biasanya digunakan oleh negara fasis dan komunis.
E. Sarana Sosialisasi Budaya Politik
1. Keluarga
Merupakan agen sosialisasi pertama yang dialami seseorang. Keluarga merupakan unit yang paling kecil dalam masyarakat dan disinilah seorang individu mendapat pembentukan nilai nilai politik dan keyakinan politik.Peranan keluarga dalam sosialisasi politik sangat penting. Keluarga merupakan agent pertama yang sangat menentukan pola pembentukan nilai politik bagi seorang individu. Dalam keluarga, anak dapt menyaksikan peristiwa-peristiwa politik yang dimintai kedua orang tua. Misalnya sebagai berikut :
-          Apabila orang tuanya partisipan Partai Demokrat, tentu saja atribut Partai Demokrat, seperti simbol tanda gambar, seragam, bendera, atau pamflet dari partai Demokrat, akan tampak di rumah. Bahkan tidak mustahil rumahnya di cat warna biru
-          Apabila orangtuanya PKS, dirumah tersebut diwrnai atribut PKS. Demikian juga kalau kedua orang tuannyaaktivis PDIP maka warna merah dengan tanda gambar banteng akan mendominasi rumah atribut ( topi, jaket, baju, kaos )orang tuannya.
Dari sinilah nilai-nilai politik ditanamkan kepada anak.Sebuah keluarga yang menekankan kepatuhan dan hormat kepada orang tua secara kental, bisa jadi akan membentuk kepribadian anak yang takut mengambil inisiatif dalam kehuidupan sehari-hari. Sebaliknya, sebuah keluarga yang terbuka dan memberikan peluang kepada anaknya untuk ikut terlibat dalam diskusi keluarga, serta membentuk kepribadian individu menjadi terbuka dan demokratik pula.
2. Sekolah
Sekolah memberikan pandangan pandangan konkrit tentang politik dan segala hal tentang politik. Selain itu sekolah juga dapat membangun kesadaran kepada generasi muda mengenai arti penting hidup bernegara dan cinta terhadap tanah air.Proses pengetahuan politik mulai terbentuk semenjak anak menjadi murid TK.Disekolah ada gambar presiden, wakil preiden, dan tidak jarang para pemimpin yang lain.
Ketika memasuki sekolah dasar, pemhaman nilai-nilai yang bersifat kognitif mulai di tingkatkan melalui pelajaran sejarah, ilmu bumi, dan ilmu sosial lainnya. Selain itu ada tambahan pembentukan jati diri orang lain yang sangat penting, yaitu latihan organisasi dan kepemimpinan. Hal itu dilakukan dengan adanya ketua kelas, ataupun organisasi siswa di sekolahnya. Itulah politik. Di sekolah melalui pelajaran civics education (pendidikan kewarganegaraan), siswa dan gurunya saling bertukar informasi dan berinteraksi dalam membahas topik-topik tertentu yang mengandung nilai-nilai politik teoritis maupun praktis. Dengan demikian, siswa telah memperoleh pengetahuan awal tentang kehidupan berpolitik secara dini dan nilai-nilai politik yang benar dari sudut pandang akademis.
 Kalau dirinci peranan ekolah dalam sosialisasi politik antaralain sebagai berikut :
-           Sekolah dapat memegang peran penting dalam pembentukan sikap-sikap terhadap “aturan permainan politik”
-          Sekolah dapat mempertebal kesetiaan terhadap sistem politik dn memberikansimbol-simbol umum menjunjukan tanggapan yang ekspresifterhadap sistem ini seperti bendera nasiona, dan ikrar kesetiaan “padamu negeri”
-          Sekolah juga merupakan “saluran pewarisan “ nilai-nilai dan sikap masyarakatnya
-          Pengajaran sejarah nasional juga berfungsi memperkuat kesetiaan kepada sistem politik
-          Sekolah memeber pengetahuan keapada kaum muda tentang dunia politik dan mereka didalamnya.
3. Kelompok pergaulan
Kelompok pergaulan mulai mengambil penting dalam proses sosialisasi politik selama masa remaja dan berlangsung terus sepanjang usia dewasa. Takott Parson menyatakan kelompok pertemanan tumbuh menjadi agen sosialisasi politik yang sangat penting pada masa anak-anak berada di sekolah menengah atas.
4. Tempat kerja
Organisasi formal maupun nonformal serta organisasi politik terbentuk atas dasar pekerjaan, oleh sebab itu tempat kerja juga merupakan tempat sosialisasi politik. Bagi para anggota tempat kerja merupakan tempat yang berfungsi sebagai sarana penyuluhan politik.
5. Media massa
Media massa merupakan saran yang paling efektif karena media massa dapat memberikan banyak informasi bagi masyarakat luas. Selain itu media massa juga merupakan sarana yang ampuh untuk membentuk sikap -sikap dan keyakinan politik dan melalui media ini suatu ideologi dapat ditanamkan kepada masyarakat dan kebijakan-kebijakan politik negara dapat disampaikan kepada rakyat.
6. Kontak-kontak politik langsung
Kontak-kontak politik langsung yang dimaksud adalah pengalaman nyata terlibat dalam politik entah sebagai pejabat pemerintah, pengurus partai ataupun yang lainnya entah bersifat positif atau negatif hal ini juga akan dapat merubah pemikiran dan keyakinan politik seseorang.
F. Peran Aktif Masyarakat dalam Sosialisasi Budaya Politik
1. Ikut berpartisipasi dalam pemerintahan.
2. Ikut serta dalam lembaga-lembaga yang ada di masyarakat.
3. Ikut berpartisipasi dalam kegiatan-kegiatan politik.
IV. Peran Serta Budaya Politik Partisipan
A. Pengertian Partisipasi Politik
Pembahasan tentang budaya politik tidak terlepas dari partisipasi politik warga negara. Partisipasi politik pada dasarnya merupakan bagian dari budaya politik, karena keberadaan struktur-struktur politik di dalam masyarakat, seperti partai politik, kelompok kepentingan, kelompok penekan dan media masa yang kritis dan aktif. Hal ini merupakan satu indikator adanya keterlibatan rakyat dalam kehidupan politik (partisipan).
Bagi sebagian kalangan, sebenarnya keterlibatan rakyat dalam proses politik, bukan sekedar pada tataran formulasi bagi keputusan-keputusan yang dikeluarkan pemerintah atau berupa kebijakan politik, tetapi terlibat juga dalam implementasinya yaitu ikut mengawasi dan mengevaluasi implementasi kebijakan tersebut.
Partisipasi Politik adalah kegiatan seseorang atau sekelompok orang untuk ikut serta secara aktif dalam kehidupan politik, seperti memilih pimpinan negara atau upaya-upaya mempengaruhi kebijakan pemerintah. Menurut Myron Weiner, terdapat lima penyebab timbulnya gerakan ke arah partisipasi lebih luas dalam proses politik, yaitu sebagai berikut :
a.       Modernisasi dalam segala bidang kehidupan yang menyebabkan masyarakat makin banyak menuntut untuk ikut dalam kekuasaan politik.
b.      Perubahan-perubahan struktur kelas sosial. Masalah siapa yang berhak berpartisipasi dan pembuatan keputusan politik menjadi penting dan mengakibatkan perubahan dalam pola partisipasi politik.
c.       Pengaruh kaum intelektual dan kemunikasi masa modern. Ide demokratisasi partisipasi telah menyebar ke bangsa-bangsa baru sebelum mereka mengembangkan modernisasi dan industrialisasi yang cukup matang.
d.      Konflik antar kelompok pemimpin politik, jika timbul konflik antar elite, maka yang dicari adalah dukungan rakyat. Terjadi perjuangan kelas menentang melawan kaum aristokrat yang menarik kaum buruh dan membantu memperluas hak pilih rakyat.
e.       Keterlibatan pemerintah yang meluas dalam urusan sosial, ekonomi, dan kebudayaan. Meluasnya ruang lingkup aktivitas pemerintah sering merangsang timbulnya tuntutan-tuntutan yang terorganisasi akan kesempatan untuk ikut serta dalam pembuatan keputusan politik.
B. Konsep Partisipasi Politik
Dalam ilmu politik, dikenal adanya konsep partisipasi politik untuk memberi gambaran apa dan bagaimana tentang partisipasi politik. Dalam perkembangannya, masalah partisipasi politik menjadi begitu penting, terutama saat mengemukanya tradisi pendekatan behavioral(perilaku) dan Post Behavioral (pasca tingkah laku). Kajian-kajian partisipasi politik terutama banyak dilakukan di negara-negara berkembang, yang pada umumnya kondisi partisipasi politiknya masih dalam tahap pertumbuhan.
Dalam ilmu politik sebenarnya apa yang dimaksud dengan konsep partisipasi politik ? siapa saja yang terlibat ? apa implikasinya ? bagaimana bentuk praktik-praktiknya partisipasi politik ? apakah ada tingkatan-tingkatan dalam partisipasi politik ? beberapa pertanyaan ini merupakan hal-hal mendasar yang harus dijawab untuk mendapat kejelasan tentang konsep partisipasi politik.Berdasarkan beberapa defenisi konseptual partisipasi politik yang dikemukakan beberapa sarjana ilmu politik tersebut, secara substansial menyatakan bahwa setiap partisipasi politik yang dilakukan termanifestasikan dalam kegiatan-kegiatan sukarela yang nyata dilakukan, atau tidak menekankan pada sikap-sikap. Kegiatan partisipasi politik dilakukan oleh warga negara preman atau masyarakat biasa, sehingga seolah-olah menutup kemungkinan bagi tindakan-tindakan serupa yang dilakukan oleh non-warga negara biasa.

PENUTUP

A. Kesimpulan
1. Budaya politik merupakan perilaku suatu masyarakat dalam kehidupan bernegara, peneyelenggaraan administrasi negara.
2. Tipe-tipe budaya politik yang berkembang dalam masyarakat Indonesia ada 3 macam, yaitu budaya politik parokial, budaya politik kaulka, dan budaya politik partisipan.
3. Budaya politik partisipan perlu di sosialisasikan kepada segenap rakyat agar dapat berperan serta secara aktif.
Dari penjelasan diatas dapat disimpulkan bahwa budaya politik sangat penting bagi masyarakat karea budaya politik merupakan system nilai dan keyakinan yang dimiliki bersama oleh masyarakat. Dalam kesehariannya hampir selalu bersentuhan dengan aspek-aspek politik. Praktis baik yang bersimbol maupun tidak. Dalam pelaksanaannya bisa terjadi secara langsung atau tidak langsung dengan praktik- praktik politik. Jika secara tidak langsung hanya sekedar mendengar informasi, atau berita-berita tentang peristiwa-peristiwa litik yag terjadi. Dan jika secara langsung berarti orang tersebut terlibat langsung dalam peristiwa politik tertentu.




Novel Bahasa Jawa "Tresno Waranggono"

                                                                           Tresno Waranggono “ Theng-theng” swara bel muni, kang tandane w...